Java 线程创建与常用方法
进程与线程
进程
- 程序由指令和数据组成,但这些指令要运行,数据要读写,就必须将指令加载至 CPU,数据加载至内存。在指令运行过程中还需要用到磁盘、网络等设备。进程就是用来加载指令、管理内存、管理 IO 的
- 当一个程序被运行,从磁盘加载这个程序的代码至内存,这时就开启了一个进程
线程
- 一个进程之内可以分为一到多个线程。
- 一个线程就是一个指令流,将指令流中的一条条指令以一定的顺序交给 CPU 执行
- Java 中,线程作为最小调度单位,进程作为资源分配的最小单位。 在 windows 中进程是不活动的,只是作为线程的容器
进程与线程的区别
- 进程基本上相互独立的,而线程存在于进程内,是进程的一个子集
- 进程拥有共享的资源,如内存空间等,供其内部的线程共享
- 进程间通信较为复杂
- 同一台计算机的进程通信称为 IPC(Inter-process communication)
- 不同计算机之间的进程通信,需要通过网络,并遵守共同的协议,例如 HTTP
- 线程通信相对简单,因为它们共享进程内的内存,一个例子是多个线程可以访问同一个共享变量
- 线程更轻量,线程上下文切换成本一般上要比进程上下文切换低
并行与并发
单核 cpu 下,线程实际还是 串行执行 的。操作系统中有一个组件叫做任务调度器,将 cpu 的时间片(windows下时间片最小约为 15 毫秒)分给不同的程序使用,只是由于 cpu 在线程间(时间片很短)的切换非常快,人类感觉是 同时运行的 。总结为一句话就是: 微观串行,宏观并行 。一般会将这种 线程轮流使用 CPU 的做法称为并发 (concurrent)
多核 cpu下,每个 核(core) 都可以调度运行线程,这时候线程可以是并行的。
Java 线程
创建和运行线程
-
直接使用 Thread
package create; import lombok.extern.slf4j.Slf4j; @Slf4j(topic = "c.ThreadCre") public class ThreadCre { public static void main(String[] args) { Thread t = new Thread(){ @Override public void run() { log.debug("running"); } }; t.start(); log.debug("running"); } } -
使用 Runnable 配合 Thread
package create; import lombok.extern.slf4j.Slf4j; @Slf4j(topic = "c.RunnableCre") public class RunnableCre { public static void main(String[] args) { Runnable r = new Runnable() { @Override public void run() { log.debug("running"); } }; Thread t = new Thread(r,"t2"); t.start(); } }使用 lambda 方式简化
package create; import lombok.extern.slf4j.Slf4j; @Slf4j(topic = "c.RunnableCre") public class RunnableCre { public static void main(String[] args) { Runnable r = () -> { log.debug("running"); }; Thread t = new Thread(r,"t2"); t.start(); } } -
FutureTask 配合 Thread
package create; import lombok.extern.slf4j.Slf4j; import java.util.concurrent.Callable; import java.util.concurrent.ExecutionException; import java.util.concurrent.FutureTask; @Slf4j(topic = "c.FutureTaskCre") public class FutureTaskCre { public static void main(String[] args) throws ExecutionException, InterruptedException { FutureTask<Integer> task = new FutureTask<>(new Callable<Integer>() { @Override public Integer call() throws Exception { log.debug("running..."); Thread.sleep(1000); return 100; } }); Thread t = new Thread(task,"t1"); t.start(); log.debug("{}",task.get()); } }
Thread 与 Runnable 的关系
- 用 Runnable 更容易与线程池等高级 API 配合
- 用 Runnable 让任务类脱离了 Thread 继承体系,更灵活
线程运行的原理
栈与栈帧
每个线程启动后,虚拟机就会为其分配一块栈内存。
- 每个栈由多个栈帧(Frame)组成,对应着每次方法调用时所占用的内存
- 每个线程只能有一个活动栈帧,对应着当前正在执行的那个方法
线程上下文切换
因为以下一些原因导致 cpu 不再执行当前的线程,转而执行另一个线程的代码
- 线程的 cpu 时间片用完
- 垃圾回收
- 有更高优先级的线程需要运行
- 线程自己调用了 sleep、yield、wait、join、park、synchronized、lock 等方法
当 Context Switch 发生时,需要由操作系统保存当前线程的状态,并恢复另一个线程的状态,Java 中对应的概念就是程序计数器(Program Counter Register),它的作用是记住下一条 jvm 指令的执行地址,是线程私有的
- 状态包括程序计数器、虚拟机栈中每个栈帧的信息,如局部变量、操作数栈、返回地址等
- Context Switch 频繁发生会影响性能
常见方法
| 方法名 | static | 功能说明 | 注意 |
|---|---|---|---|
| start() | 启动一个新线程,在新的线程运行 run 方法中的代码 | start 方法只是让线程进入就绪,里面的代码不一定立刻运行(CPU的时间片还没有分给它)。每个线程对象的 start 方法只能调用一次,否则会出现异常 | |
| run() | 新线程启动后会调用的方法 | 如果在构造 Thread 对象时传递了 Runnable 参数,则线程启动后会调用 Runnable 中的 run 方法。但可以创建 Thread 的子类对象来覆盖默认行为 | |
| join() | 等待线程运行结束 | ||
| join(long n) | 等待线程运行结果,最多等待 n 毫秒 | ||
| getId() | 获取线程长整型的 id | ||
| getName() | 获取线程名 | ||
| setName(String) | 修改线程名 | ||
| getPriority() | 获取线程优先级 | ||
| setPriority(int) | 修改线程优先级 | java中规定线程优先级是1~10 的整数,较大的优先级能提高该线程被 CPU 调度的机率 | |
| getState() | 获取线程状态 | Java 中线程状态是用 6 个 enum 表示,分别为:NEW, RUNNABLE, BLOCKED, WAITING, TIMED_WAITING, TERMINATED | |
| isInterrupted() | 判断是否被打断 | 不会清除 打断标记 | |
| isAlive() | 线程是否存活(还没有运行完毕) | ||
| interrupt() | 打断线程 | 如果被打断线程正在 sleep,wait,join 会导致被打断的线程抛出 InterruptedException,并清除 打断标记 ;如果打断的正在运行的线程,则会设置 打断标记 ;park 的线程被打断,也会设置 打断标记 | |
| interrupted() | static | 判断当前线程是否被打断 | 会清除 打断标记 |
| currentThread() | static | 获取当前正在执行的线程 | |
| sleep(long n) | static | 让当前执行的线程休眠 n 毫秒,休眠时让出 CPU 的时间片给其他程序 | |
| yield() | static | 提示线程调度器让出当前线程对CPU的使用 | 主要是为了测试和调试 |
start 与 run
调用 run
public static void main(String[] args) {
Thread t1 = new Thread("t1") {
@Override
public void run() {
log.debug(Thread.currentThread().getName());
FileReader.read(Constants.MP4_FULL_PATH);
}
};
t1.run();
log.debug("do other things ...");
}
输出
19:39:14 [main] c.TestStart - main
19:39:14 [main] c.FileReader - read [1.mp4] start ...
19:39:18 [main] c.FileReader - read [1.mp4] end ... cost: 4227 ms
19:39:18 [main] c.TestStart - do other things ...
程序仍在 main 线程运行, FileReader.read() 方法调用还是同步的
总结
- 直接调用 run 是在主线程中执行了 run,没有启动新的线程
- 使用 start 是启动新的线程,通过新的线程间接执行 run 中的代码
sleep 与 yield
sleep
- 调用 sleep 会让当前线程从 Running 进入 Timed Waiting 状态(阻塞)
- 其它线程可以使用 interrupt 方法打断正在睡眠的线程,这时 sleep 方法会抛出 InterruptedException
- 睡眠结束后的线程未必会立刻得到执行(抢占时间片)
- 建议用 TimeUnit 的 sleep 代替 Thread 的 sleep 来获得更好的可读性
yield
- 调用 yield 会让当前线程从 Running 进入 Runnable 就绪状态,然后调度执行其它线程
- 具体的实现依赖于操作系统的任务调度器
线程优先级
- 线程优先级会提示(hint)调度器优先调度该线程,但它仅仅是一个提示,调度器可以忽略它
- 如果 cpu 比较忙,那么优先级高的线程会获得更多的时间片,但 cpu 闲时,优先级几乎没作用
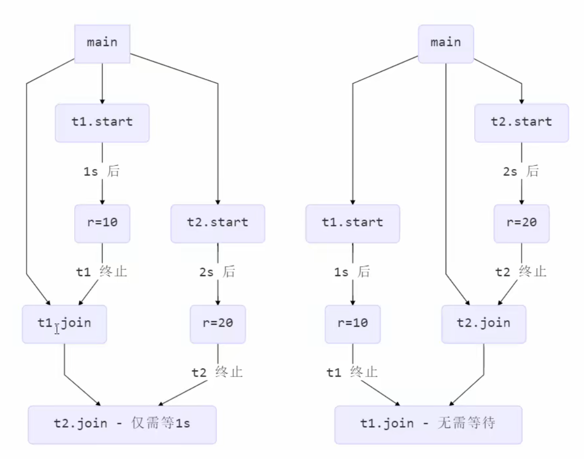
join
等待一个线程执行结束
等待多个线程的结果
情况一:
package testJoin;
import lombok.extern.slf4j.Slf4j;
@Slf4j(topic = "c.demo1")
public class demo1 {
static int r = 0 , r1 = 0 , r2 = 0;
public static void main(String[] args) throws InterruptedException {
test2();
}
private static void test2() throws InterruptedException {
Thread t1 = new Thread(() -> {
try {
Thread.sleep(1000);
r1 = 10;
} catch (InterruptedException e) {
e.printStackTrace();
}
});
Thread t2 = new Thread(() -> {
try {
Thread.sleep(2000);
r1 = 20;
} catch (InterruptedException e) {
e.printStackTrace();
}
});
long start = System.currentTimeMillis();
t1.start();
t2.start();
log.debug("join begin");
t1.join();
log.debug("t1 join end");
t2.join();
log.debug("t2 join end");
long end = System.currentTimeMillis();
log.debug("r1: {} r2: {} cost: {}",r1,r2,end-start);
}
}
输出:
14:18:02 [main] c.demo1 - join begin
14:18:03 [main] c.demo1 - t1 join end
14:18:04 [main] c.demo1 - t2 join end
14:18:04 [main] c.demo1 - r1: 20 r2: 0 cost: 2008
情况二:
package testJoin;
import lombok.extern.slf4j.Slf4j;
@Slf4j(topic = "c.demo1")
public class demo1 {
static int r = 0 , r1 = 0 , r2 = 0;
public static void main(String[] args) throws InterruptedException {
test2();
}
private static void test2() throws InterruptedException {
Thread t1 = new Thread(() -> {
try {
Thread.sleep(1000);
r1 = 10;
} catch (InterruptedException e) {
e.printStackTrace();
}
});
Thread t2 = new Thread(() -> {
try {
Thread.sleep(2000);
r1 = 20;
} catch (InterruptedException e) {
e.printStackTrace();
}
});
long start = System.currentTimeMillis();
t1.start();
t2.start();
log.debug("join begin");
t2.join();
log.debug("t2 join end");
t1.join();
log.debug("t1 join end");
long end = System.currentTimeMillis();
log.debug("r1: {} r2: {} cost: {}",r1,r2,end-start);
}
}
输出:
14:19:19 [main] c.demo1 - join begin
14:19:21 [main] c.demo1 - t2 join end
14:19:21 [main] c.demo1 - t1 join end
14:19:21 [main] c.demo1 - r1: 20 r2: 0 cost: 2006
另外 join 也可以带参数,是有时效的等待。当到设定时间线程还未给出结果,直接向下运行,不再等待。如果设定时间还没到但是线程已经执行完毕,则直接向下执行,不再等待。
interrupt
打断 sleep,wait,join 的线程
这几个方法都会让线程进入阻塞状态
打断 sleep 的线程, 会清空打断状态,以 sleep 为例
package testInterrupt;
import lombok.extern.slf4j.Slf4j;
@Slf4j(topic = "c.demo1")
public class demo1 {
public static void main(String[] args) throws InterruptedException {
Thread t1 = new Thread(() -> {
log.debug("sleep...");
try {
Thread.sleep(5000);
//注意:sleep,wait,join等被打断并以异常形式表现出来后
// 会把打断标记重新置为 false(未打断状态)
} catch (InterruptedException e) {
e.printStackTrace();
}
},"t1");
t1.start();
Thread.sleep(1000);
log.debug("interrupt");
t1.interrupt();
log.debug("打断标记:{}",t1.isInterrupted());
}
}
输出:
15:08:12 [t1] c.demo1 - sleep...
15:08:13 [main] c.demo1 - interrupt
15:08:13 [main] c.demo1 - 打断标记:false
java.lang.InterruptedException: sleep interrupted
at java.lang.Thread.sleep(Native Method)
at testInterrupt.demo1.lambda$main$0(demo1.java:11)
at java.lang.Thread.run(Thread.java:748)
Process finished with exit code 0
打断正常运行的线程打断标记置为:true
package testInterrupt;
import lombok.extern.slf4j.Slf4j;
@Slf4j(topic = "c.demo2")
public class demo2 {
public static void main(String[] args) throws InterruptedException {
Thread t1 = new Thread(() -> {
while (true){
boolean interrupted = Thread.currentThread().isInterrupted();
if(interrupted){
log.debug("被打断了,退出循环");
break;
}
}
},"t1");
t1.start();
Thread.sleep(1000);
log.debug("interrupt");
t1.interrupt();
}
}
输出:
15:17:40 [main] c.demo2 - interrupt
15:17:40 [t1] c.demo2 - 被打断了,退出循环
打断 park 线程
package testInterrupt;
import lombok.extern.slf4j.Slf4j;
import java.util.concurrent.locks.LockSupport;
@Slf4j(topic = "c.demo4")
public class demo4 {
public static void main(String[] args) throws InterruptedException {
Thread t1 = new Thread(() -> {
log.debug("park...");
LockSupport.park();
log.debug("unpark...");
log.debug("打断状态:{}",Thread.currentThread().isInterrupted());
},"t1");
t1.start();
Thread.sleep(1000);
t1.interrupt();
}
}
输出:
14:16:21 [t1] c.demo4 - park...
14:16:22 [t1] c.demo4 - unpark...
14:16:22 [t1] c.demo4 - 打断状态:true
两阶段终止模式
package testInterrupt;
import lombok.extern.slf4j.Slf4j;
@Slf4j(topic = "c.demo3")
public class demo3 {
public static void main(String[] args) throws InterruptedException {
TwoPhaseTermination tpt = new TwoPhaseTermination();
tpt.start();
Thread.sleep(3500);
tpt.stop();
}
}
@Slf4j(topic = "c.TwoPhaseTermination")
class TwoPhaseTermination{
private Thread monitor;
//启动监控线程
public void start(){
monitor = new Thread(() -> {
while (true){
Thread current = Thread.currentThread();
if(current.isInterrupted()){
log.debug("料理后事");
break;
}
try {
Thread.sleep(1000);//情况1
log.debug("执行监控记录");//情况2
} catch (InterruptedException e) {
e.printStackTrace();
//重新设置打断标记
current.interrupt();
}
}
});
monitor.start();
}
//终止监控线程
public void stop(){
monitor.interrupt();
}
}
输出:
15:33:02 [Thread-0] c.TwoPhaseTermination - 执行监控记录
15:33:03 [Thread-0] c.TwoPhaseTermination - 执行监控记录
15:33:04 [Thread-0] c.TwoPhaseTermination - 执行监控记录
java.lang.InterruptedException: sleep interrupted
at java.lang.Thread.sleep(Native Method)
at testInterrupt.TwoPhaseTermination.lambda$start$0(demo3.java:29)
at java.lang.Thread.run(Thread.java:748)
15:33:04 [Thread-0] c.TwoPhaseTermination - 料理后事
Process finished with exit code 0
不推荐的方法
还有一些不推荐使用的方法,这些方法已过时,容易破坏同步代码块,造成线程死锁
| 方法名 | static | 功能说明 |
|---|---|---|
| stop() | 停止线程运行 | |
| suspend() | 挂起(暂停)线程运行 | |
| resume() | 恢复线程运行 |

